PROCESOS
ÁREA Y VOLUMEN DEL PRISMA

El desarrollo del prisma de la figura, está formado por dos cuadrados cuya medida de la base es igual al perímetro del cuadrado y la medida de la altura del prisma
.Así el área lateral del prisma es igual al perímetro de la base Pb por la altura h. Luego A l= Pb x h
El área total es la suma del área lateral y el área de las dos bases así que At = Pb x h + 2Ab
El volumen del prisma se obtiene multiplicando el área de la base por la altura V = Ab x h.
EJEMPLO:
Hallar el área lateral, área total y volumen de un prisma cuadrangular sabiendo que el lado de la base mide 6cm y su altura 12 cm.
Solución
1. Hallamos el área lateral
Sabemos que el área lateral es igual al perímetro de la base por la altura, buscamos el perímetro de la base así:
P = 6cm + 6cm + 6cm +6cm = 24 cm
Al = Pb x h
, reemplazamos en la fórmula
Al = 24cm x 12 cm
Al = 288cm2
Se calcula el área de una de las bases. Como el prisma es regular y la base es cuadrada el ´A = l x l = l2
Ab = 6cm x 6 cm = 36cm2
Hallamos el valor del área total
At = Al + 2Ab
At = 288cm2 + 2(36cm2 )
At = 288cm2 + 72cm2
At= 360cm2
Finalmente, calculamos el volumen
V = Ab x h
V = (36cm2 )(12cm) = 432cm3
Práctica
Hallar el área lateral, total y volumen de los siguientes prismas
a.

. b. .

.
ÁREA Y VOLUMEN DE UNA PIRÁMIDE

El desarrollo de una pirámide está formado por la base y tantos triángulos como lados tiene la base, luego

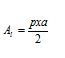
Para hallar el área total se suma el área de las caras laterales , con el área de la base

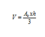
El volumen de una pirámide es igual a la tercera parte del producto del área de la base por su altura.

Ejemplo :
Halla el área y el volumen de la pirámide de la figura

Solución
Para hallar el área total de la piámide dada, se suma el área del hexágono regular de la base y el área de los triángulos laterarales.
Para hallar el área del hexágono se encuentra el valor de la apotema a, de acuerdo a la figura

Por el teorema de pitágoras
a = 102 -52 = 8,66
Así que el área del hexágono es

Siendo p, el perímetro del hexágono
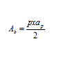
El área de cada triángulo lateral, se obtiene también calculando la altura mediante el teorema de Pitágoras


Luego

De donde el área total de la pirámide es

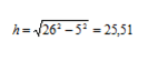
Para hallar el volumen se calcula la altura de la pirámide, aplicando también el teorema de pitágoras en el triángulo sombreado de la figura


Luego


Entonces el volumen de la pirámide es 2.078,4cm3
Práctica
Hallar el área lateral , total y volumen de las siguientes pirámides
